Phenylalanine
Aka “5-hour Energy”
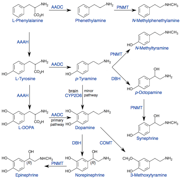
Phenylalanine is the first molecule in the catecholamine synthesis pathway. The order of catecholamine metabolism is as follows: phenylalanine, tyrosine, dopa, dopamine, norepinephrine, and epinephrine:

Schema of your alertness factory.
Take it with the necessary cofactors (B6 and C), and you have the equivalent of every overpriced energy drink product on the market, such as 5-hour ENERGY, Red Bull, Brain Juice, Red Bull, etc.
Just add a tiny bit of caffeine (like 30 mg) and you’ll be wired for 4–6 hours.